Osobine Logaritma

Https Matematiranje In Rs Ii 20godina 3 20eksponencijalna 20i 20logaritamska 20funkcija 4 Logaritmi 20definicija 20i 20osobine Pdf

Https Matematiranje In Rs Ii 20godina 3 20eksponencijalna 20i 20logaritamska 20funkcija 4 Logaritmi 20definicija 20i 20osobine Pdf

Definicija Logaritma On Line Ucionica

Definicija Logaritma On Line Ucionica

Matematicke Formule

Matematicke Formule

Logaritmi Pravila Zadaci Pdf Docdroid

Logaritmi Pravila Zadaci Pdf Docdroid

Logaritmi Pravila Zadaci Pdf Docdroid

Logaritmi Pravila Zadaci Pdf Docdroid

Matematicke Formule

Matematicke Formule

Matematicke Formule

Matematika Za Poneti Osobine Logaritama Primena U Zadacima

Matematika Za Poneti Osobine Logaritama Primena U Zadacima

Matematika Za Poneti Osobine Logaritama Primena U Zadacima

Matematika Za Poneti Osobine Logaritama Primena U Zadacima

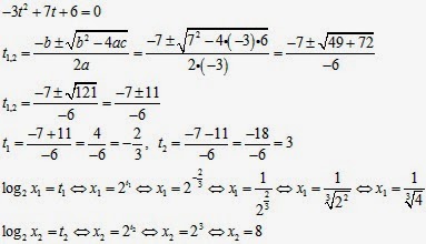
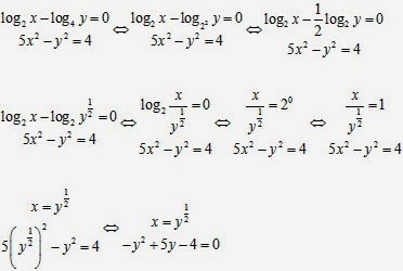
Es Resiti Sistem Jednacina Sa Logaritmima

Es Resiti Sistem Jednacina Sa Logaritmima

Osobine Logaritama Matematika Ii Youtube

Osobine Logaritama Matematika Ii Youtube

Ppt Neki Va Zni Dokazi Vazne Osobine Logaritma Powerpoint Presentation Id 6620990

Ppt Neki Va Zni Dokazi Vazne Osobine Logaritma Powerpoint Presentation Id 6620990

Matematika Logaritmi Faruk Zahiragic Ii1 Album On Imgur

Matematika Logaritmi Faruk Zahiragic Ii1 Album On Imgur

4 Logaritmi Definicija I Osobine Pdf Document

4 Logaritmi Definicija I Osobine Pdf Document

Pojam Logaritma Matematika Za 2 Razrede Ss Youtube

Pojam Logaritma Matematika Za 2 Razrede Ss Youtube

4 Logaritmi Definicija I Osobine

4 Logaritmi Definicija I Osobine

Drugi Razred Cas 2 Osobine Logaritma Youtube

Drugi Razred Cas 2 Osobine Logaritma Youtube

Eksponencijalna I Logaritamska Funkcija On Line Ucionica

Eksponencijalna I Logaritamska Funkcija On Line Ucionica

Logaritamsko Rjesenje Za Lutke Prelazak Na Novu Fondaciju

Logaritamsko Rjesenje Za Lutke Prelazak Na Novu Fondaciju

Prirodni Logaritam Vikipediјa

Prirodni Logaritam Vikipediјa

Prirodni Logaritam Ln Kalkulator Grafikon Formula

Prirodni Logaritam Ln Kalkulator Grafikon Formula

Matematika Za Poneti Eksponencijalni Izrazi I Logaritmi Zadaci Za Vezbu

Matematika Za Poneti Eksponencijalni Izrazi I Logaritmi Zadaci Za Vezbu

Matematicke Funkcije

Matematicke Funkcije

Ppt Logaritma Powerpoint Presentation Free Download Id 4242571

Ppt Logaritma Powerpoint Presentation Free Download Id 4242571

Ppt Neki Va Zni Dokazi Vazne Osobine Logaritma Powerpoint Presentation Id 6620990

Ppt Neki Va Zni Dokazi Vazne Osobine Logaritma Powerpoint Presentation Id 6620990

Pojam Logaritma Matematika Za 2 Razrede Ss Youtube

Pojam Logaritma Matematika Za 2 Razrede Ss Youtube

Logaritmi Matematika Wiki Fandom

Logaritmi Matematika Wiki Fandom

Ppt Neki Va Zni Dokazi Vazne Osobine Logaritma Powerpoint Presentation Id 6620990

Ppt Neki Va Zni Dokazi Vazne Osobine Logaritma Powerpoint Presentation Id 6620990

Logaritamska Funkcija

Logaritamska Funkcija

9 Formula Koje Se Odnose Na Svojstva Stupnjeva Logaritma Logaritam Logaritamske Osobine Zbrajanje I Oduzimanje

9 Formula Koje Se Odnose Na Svojstva Stupnjeva Logaritma Logaritam Logaritamske Osobine Zbrajanje I Oduzimanje

Ppt Neki Va Zni Dokazi Vazne Osobine Logaritma Powerpoint Presentation Id 6620990

Ppt Neki Va Zni Dokazi Vazne Osobine Logaritma Powerpoint Presentation Id 6620990

Realne Funkcije Realne Promjenljive

Realne Funkcije Realne Promjenljive

Logaritmi Pravila Osnovna Svojstva I Formule

Logaritmi Pravila Osnovna Svojstva I Formule

Osobine Logaritma

Osobine Logaritma

Primena Dekadnog Logaritma Matematika Ii Youtube

Primena Dekadnog Logaritma Matematika Ii Youtube

Pdf Application Of Lipophilicity Parameters In Qsrr Analysis Of Newly Synthesized S Triazine Derivatives Prediction Of The Retention Behavior

Pdf Application Of Lipophilicity Parameters In Qsrr Analysis Of Newly Synthesized S Triazine Derivatives Prediction Of The Retention Behavior

Mathematical Modelling Of The Effect Of Temperature On The Rate Of A Chemical Reaction Reaction Rate Activation Energy

Mathematical Modelling Of The Effect Of Temperature On The Rate Of A Chemical Reaction Reaction Rate Activation Energy

Sankhya Ivan Antic 34wmdeqzo8l7

Sankhya Ivan Antic 34wmdeqzo8l7

Sankhya Ivan Antic 34wmdeqzo8l7

Sankhya Ivan Antic 34wmdeqzo8l7

Ppt Osobine Serijskog Nasilnika Ili Powerpoint Presentation Free Download Id 3726070

Ppt Osobine Serijskog Nasilnika Ili Powerpoint Presentation Free Download Id 3726070

Matematika Za Poneti Osobine Logaritama Primena U Zadacima

Matematika Za Poneti Osobine Logaritama Primena U Zadacima

Source : pinterest.com