Povrsina Valjka Formule

Mreza I Povrsina Valjka Matematika Za 8 Razred 53 Superskola Youtube

Mreza I Povrsina Valjka Matematika Za 8 Razred 53 Superskola Youtube

Valjak Obujam I Oplosje Online Kalkulator Formula

Valjak Obujam I Oplosje Online Kalkulator Formula

Jednostavna Objasnjenja Formula Za Povrsinu Oplosje I Volumen

Jednostavna Objasnjenja Formula Za Povrsinu Oplosje I Volumen

Valjak Izracunati P I V Valjka Ako Je Dat Obim Osnove I Visina Valjka Youtube

Valjak Izracunati P I V Valjka Ako Je Dat Obim Osnove I Visina Valjka Youtube

Povrsina I Zapremina Valjka Youtube

Povrsina I Zapremina Valjka Youtube

Valjak Obujam I Oplosje Online Kalkulator Formula

Valjak Obujam I Oplosje Online Kalkulator Formula

Valjak Obujam I Oplosje Online Kalkulator Formula

Matematika 8 R Valjak 2 Dio Youtube

Matematika 8 R Valjak 2 Dio Youtube

Povrsina I Nego Li Sklopimo Formule Za P I V Pogledajmo Mrezu Valjka Valjak Prof Bojana Sunjkic Iii 1 Matematika Page 2 Baze Su O Pdf Document

Povrsina I Nego Li Sklopimo Formule Za P I V Pogledajmo Mrezu Valjka Valjak Prof Bojana Sunjkic Iii 1 Matematika Page 2 Baze Su O Pdf Document

Matematika 8 10 1 Valjak

Matematika 8 10 1 Valjak

Povrsina Valjka Zadaci Edukacija

Povrsina Valjka Zadaci Edukacija

Stozac Prizma

Stozac Prizma

Http Www Filipfilipovic Edu Rs Stories Downloads Pripreme Valjak1 Pdf

Http Www Filipfilipovic Edu Rs Stories Downloads Pripreme Valjak1 Pdf

Matematika Geometrija Valjak

Matematika Geometrija Valjak

Matematika 8 10 1 Valjak

Matematika 8 10 1 Valjak

Http Www Filipfilipovic Edu Rs Stories Downloads Pripreme Valjak1 Pdf

Http Www Filipfilipovic Edu Rs Stories Downloads Pripreme Valjak1 Pdf

Kako Izracunati Volumen Bacve

Kako Izracunati Volumen Bacve

Matematika Geometrija Valjak

Matematika Geometrija Valjak

Valjak Formule Youtube

Valjak Formule Youtube

Geometrijska Tijela Valjak By Zdravko Lezaic Issuu

Geometrijska Tijela Valjak By Zdravko Lezaic Issuu

Valjak I Kupa

Valjak I Kupa

Valjak Izracunaj Povrsinu I Zapreminu Valjka Ako Je Data Povrsina Osnog Preseka Youtube

Valjak Izracunaj Povrsinu I Zapreminu Valjka Ako Je Data Povrsina Osnog Preseka Youtube

Zapremina Valjka Zadaci Edukacija

Zapremina Valjka Zadaci Edukacija

Matematika Geometrija Valjak

Matematika Geometrija Valjak

Izracunati Povrsinu I Zapreminu Valjka Youtube

Izracunati Povrsinu I Zapreminu Valjka Youtube

Https Encrypted Tbn0 Gstatic Com Images Q Tbn 3aand9gcscxlqeatkt 4ttr1vescqiqgs5i8oc42zen9e2biwovj6nda9i Usqp Cau

Https Encrypted Tbn0 Gstatic Com Images Q Tbn 3aand9gcscxlqeatkt 4ttr1vescqiqgs5i8oc42zen9e2biwovj6nda9i Usqp Cau

Oplosje I Obujam Valjka Eduvizija

Oplosje I Obujam Valjka Eduvizija

Valjak Osnovne Formule Youtube

Valjak Osnovne Formule Youtube

Http Www Filipfilipovic Edu Rs Stories Downloads Pripreme Valjak1 Pdf

Http Www Filipfilipovic Edu Rs Stories Downloads Pripreme Valjak1 Pdf

Geometrijska Tijela Valjak By Zdravko Lezaic Issuu

Geometrijska Tijela Valjak By Zdravko Lezaic Issuu

Https Matematiranje In Rs Iii 20godina 2 Obrtna 20tela 3 Valjak Pdf

Https Matematiranje In Rs Iii 20godina 2 Obrtna 20tela 3 Valjak Pdf

Obrtna Tela Valjak Kupa Lopta

Obrtna Tela Valjak Kupa Lopta

Matematika 8 10 1 Valjak

Matematika 8 10 1 Valjak

Formule Koliko Je Lima Potrebno Da Se Napravi Lonac Bez Poklopca Oblika Jednakostranicnog Valjka Promjera Baze 28 Cm Koliko Litara Tekucine Sadrzi Taj Lonac

Formule Koliko Je Lima Potrebno Da Se Napravi Lonac Bez Poklopca Oblika Jednakostranicnog Valjka Promjera Baze 28 Cm Koliko Litara Tekucine Sadrzi Taj Lonac

Http Www Filipfilipovic Edu Rs Stories Downloads Pripreme Valjak1 Pdf

Http Www Filipfilipovic Edu Rs Stories Downloads Pripreme Valjak1 Pdf

Matematika 8 10 1 Valjak

Matematika 8 10 1 Valjak

Matematika Geometrija Valjak

Matematika Geometrija Valjak

Valjak I Kupa

Valjak I Kupa

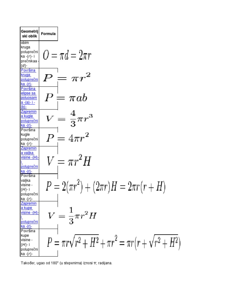
Formule Geometriskih Oblika

Formule Geometriskih Oblika

Valjak Matematika Wiki Fandom

Valjak Matematika Wiki Fandom

Osni Presek Valja Youtube

Osni Presek Valja Youtube

Source : pinterest.com